How to use Nonivamide Powder?
Polyvinyl chloride (PVC) and polyethylene (PE) are more and more widely used as insulation and sheath materials in the wire and cable industry. In addition to being damaged by oxygen, heat, light, force, and chemical erosion, they can also be damaged by termites, house mice or wild mice, which can cause power outages, communication interruptions, and even short circuits, which can cause fires. Therefore, countermeasures have been studied at home and abroad for a long time.

Some add highly toxic drugs to achieve the purpose of killing insect pests, but the main body material is also damaged and both loses. There are also metal sheaths composed of wrinkled steel pipes and thin copper tapes, but the cost is high and the construction is inconvenient. It cannot be used as a battlefield route. Communication optical cables are often damaged by rodents in southern, northwestern, Inner Mongolia and the prairie.
With the need of national defense modernization, weapons and equipment are more advanced, using lasers, computers, etc. Therefore, there is an urgent need to solve the problem of wire and cable being bitten by wild animals such as rats in the field. For example, substation equipment is often bitten; the power cords and wiring of computers, air conditioners and household appliances are often bitten by rats, including the wires and cables in the grain warehouses. In transportation, such as power lines, communication lines, and broadcasting lines in train cars are also very damaged. Passenger ships also use rodent-proof cables; mahogany furniture and cultural relics will also be bitten.
However, if nonivamide Powder is mixed into the above-mentioned cable or coated with anti-rat coating, damage can be prevented.
Another example is that galvanized pipes are changed to aluminum-plastic pipes or cross-linked vinyl pipes and the exposed parts are coated with anti-rat coating to prevent biting damage. Therefore, the application prospect of capsaicin in wire, cable and food packaging is very broad.

Nonivamide Powder in the field of pesticides
In the field of pesticides, nonivamide powder is considered to be an ideal pollution-free pesticide. As early as the 20th century, there were reports about capsaicin as a biological pesticide in the United States and Japan. In 1991, the US Environmental Protection Agency (EPA) recognized capsaicin as a pesticide. After the compounds are biochemical pesticides, the restrictions on their residues on fruits, vegetables and grains are further exempted, and the drug resistance and residue inspections are exempted.
In my country, capsaicin • tea saponin insecticides, capsaicin • nicotine microemulsions, capsaicin • rotenone insecticides, capsaicin microemulsions, abamectin • capsaicin microemulsions and other products have also come out one after another.
The laboratory toxicity test found that Nonivamide has strong toxicity and good control effect on myzus persicae. Studies have shown that capsaicin exhibits strong oviposition avoidance and antifeedant activity against Plutella xylostella. In the field, five insecticides were used to test the efficacy of the diamondback moth and the diamondback aphid. The results showed that the 9% capsaicin nicotine microemulsion had a good control effect on the diamondback moth and the diamondback aphid.
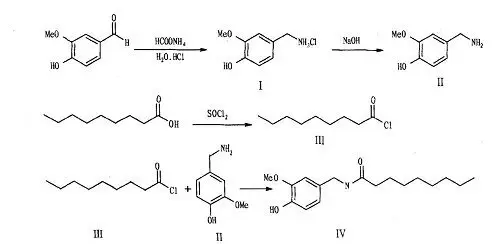
Although the use of capsaicin to control agricultural diseases and insect pests has been reported more, due to the high price of high-purity capsaicin, the application research in the agricultural field is limited to the crude extract of pepper, so it is necessary to do further research to investigate the insecticidal activity of capsaicin. For this reason, capsaicin and its analogue Nonivamide were synthesized by chemical methods through amination reduction and N-acylation (see Figure for the synthesis route).
And measured its indoor insecticidal biological activity, aiming to provide a theoretical basis for further research on the biological activity of capsaicin.









